
La ventilazione ad assistenza proporzionale (PAV o PPS) è una modalità di erogazione della pressione di supporto in cui il ventilatore applica, istante per istante, un’assistenza proporzionale allo sforzo inspiratorio del paziente (1). A differenza di altre ventilazioni assistite, non vi è un target di volume o pressione da mantenere costante e come mostrato nell’immagine 1, nella PAV, all’aumentare dello sforzo inspiratorio del paziente aumenta anche la pressione erogata dal ventilatore. Questa modalità fornisce una sorta di “muscolo aggiuntivo” sotto il completo controllo del paziente per determinare la profondità e la frequenza dei respiri.
Il sistema di erogazione del gas è costituito da un pistone a movimento libero pressurizzato e da un motore ad azione rapida, La forza esercitata dal motore (il livello di assistenza inspiratoria) è una funzione del flusso e del volume richiesti dal paziente (misurati in continuo grazie ad un flussimetro). Questo significa che un aumento del flusso e del volume inspiratorio, dovuto ad un aumento dello sforzo muscolare, induce il ventilatore ad erogare, nell’istante successivo, una maggiore assistenza (2).
La quantità di assistenza da erogare è regolata da amplificatori di flusso e volume separati, anche chiamati “controlli di guadagno”: flow assist (FA) e volume assist (VA). I controlli di guadagno determinano le proporzioni tra flusso e volume da un lato e la forza esercitata, (cioè la pressione erogata) dall’altro. (immagine 2)

Su alcuni ventilatori è possibile gestire separatamente l’assistenza utile a vincere il carico resistivo e il carico elastico. Nel setting della ventilazione verrà chiesto, quindi, di impostare sia il Volume Assist che il Flow Assist. Su altri modelli, invece, si imposta più semplicemente la percentuale di lavoro da far svolgere al ventilatore: in questo caso Volume Assist e Flow Assist sono impostati in automatico dal ventilatore sulla stessa frazione e la pressione generata diventa proporzionale allo sforzo (Pmusc).
L’effetto netto è quello di amplificare lo sforzo del paziente continuando a garantire al paziente il controllo totale su tutti gli aspetti della respirazione. Un esempio analogo di funzionamento avviene nel servosterzo dei veicoli a motore.
Una caratteristica essenziale e distintiva di PAV è che la pressione generata dal ventilatore segue il trasferimento di gas dalla macchina al paziente invece di condurlo (o causarlo), inoltre, il flusso e il volume devono essere modificati prima che il ventilatore aggiusti la sua uscita di pressione (assistenza inspiratoria). (2)
Per capire in modo approfondito la logica di funzionamento di una ventilazione ad assistenza proporzionale dobbiamo necessariamente rispolverare l’equazione di moto dell’apparato respiratorio. Le parti più complesse sono scritte in corsivo, se fatichi a seguirle passa oltre, al termine dovrebbe esserti comunque chiaro il concetto.
È noto che per poter inspirare si devono vincere le forze che si oppongono all’espansione del sistema respiratorio e più queste forze sono elevate, maggiore è l’intensità del lavoro della muscolatura. Quando i muscoli respiratori sono affaticati, o i carichi di lavoro sono troppo elevati per essere sostenuti, bisogna necessariamente aiutare il paziente con una ventilazione. Uno degli obiettivi della ventilazione meccanica è proprio quello di alleggerirne il lavoro, facendolo svolgere totalmente o in parte al ventilatore.
I carichi di lavoro che gravano sul sistema respiratorio sono 3: il carico soglia, il carico elastico ed il carico resistivo. Si omette per ora il carico soglia e rivolgo l’attenzione verso:
- Il carico elastico è rappresentato dalla forza di retrazione elastica del sistema respiratorio che contrasta l’aumento di volume dell’apparato respiratorio sopra capacità funzionale residua (FRC). Questa forza è definita come Pressione elastica (Pel) o driving pressure (Dp) ed è direttamente proporzionale al volume corrente raggiunto e alla rigidità del polmone, ovvero l’elastanza (E):
Pel = E x Vt
- Il carico resistivo è rappresentato dalla forza necessaria a far scorrere l’aria nelle vie aeree. Viene definita come pressione resistiva (Pres) ed è direttamente proporzionale alle resistenze (R) e alla velocità dell’aria, ovvero il flusso (V˙):
Pres = R x V˙
Secondo l’equazione di moto dell’apparato respiratorio, la pressione applicata per espandere il sistema respiratorio (Pd, pressione distensiva), deve essere sufficiente a superare il carico resistivo (Pres) e le forze di retrazione elastica (Pel) dell’apparato respiratorio. Durante un respiro spontaneo Pd è rappresentata unicamente dalla forza prodotta dai muscoli (Pmusc):
Pd = Pmusc = Pel + Pres = E x Vt + V˙ x R
La stessa relazione si applica durante la ventilazione assistita, tranne per il fatto che Pd non è solo la pressione generata dal paziente (Pmusc), ma anche la pressione applicata dal ventilatore (Paw).
Pd = Pmusc + Paw = E x Vt + V˙ x R
Questa equazione afferma semplicemente che la forza di distensione del sistema respiratorio è la somma delle pressioni generate dal paziente (Pmusc) e dal ventilatore (Paw) e che questa forza è contrastata dall’opposizione esercitata dal carico elastico e dal carico resistivo.
Durante la ventilazione ad assistenza proporzionale la pressione applicata dal ventilatore è una funzione del volume e del flusso richiesti dal paziente: Paw = f1 (V) x f2 (V˙)
Quindi l’equazione di moto si riscrive nel modo seguente :
Pmusc + [Vt x K1 + V˙ x K2] = Vt x E + V˙ x R
dove K1 è la proporzionalità tra Paw e volume ispirato (espresso in unità di elastanza, cmH2O/L) e K2 è la proporzionalità tra PAW e flusso (espresso in unità di resistenza, cmH2O/L/s).
Questa è l’equazione che sta alla base della logica di funzionamento di una ventilazione ad assistenza proporzionale. Provo ora ad applicarla con un esempio più concreto:
Paziente maschio, 60 anni, forte fumatore. Viene ricoverato in ICU per ictus emorragico, e durante il ricovero sviluppa una ARDS secondaria a VAP. Dopo una prima fase acuta, l’insufficienza respiratoria inizia a migliorare e si decide di impostare una ventilazione assistita.
- Caratteristiche meccaniche del sistema respiratorio:
Elastanza = 30 cmH2O/L, Resistenza = 5 cmH2O/L/s e PEEPtot = 10 cmH2O
- modalità: ventilazione ad assistenza proporzionale
- Setting selezionato sul ventilatore:
VA = 12 cmH2O/L
FA = 2 cmH2O/L/s
PEEP = 8 cmH2O
Come accennato in precedenza, alcuni ventilatori utilizzano i controlli di guadagno per scegliere la proporzionalità tra flusso, volume e pressione applicata. In questo modo è possibile scegliere diversi livelli di assistenza tra il carico elastico ed il carico resistivo. Altri, invece, consentono di scegliere solo la percentuale di lavoro da far svolgere alla macchina ed il ventilatore manterrà la percentuale selezionata sia per il carico elastico che resistivo.
Nel caso preso ad esempio si è scelto di impostare VA e FA al 40% di elastanza e resistenza, in altre parole si è scelto di far svolgere al ventilatore il 40% sia del carico di lavoro elastico che resistivo.
Provo a questo punto a calcolare la pressione applicata dal ventilatore, nel momento in cui il paziente chiede un flusso di 42.6 L/min ed un volume di 284 ml. Questa richiesta è immediatamente letta dal flussimetro e utilizzata per regolare la pressione secondo la seguente equazione:
PAW = [Vt x VA+ V˙x FA]=
= 0.284 L x 12 cmH2O/L + 0.71 L/s x 2 cmH2O/L/s = 4.81 cmH2O
che per semplicità arrotondiamo a 5 cmH2O
Il ventilatore applica, in quell’esatto momento, 5 cmH2O sopra PEEP (P0=10 cmH2O), ovvero 15 cmH2O. Come raffigurato nell’immagine 3.

Considerazioni operative

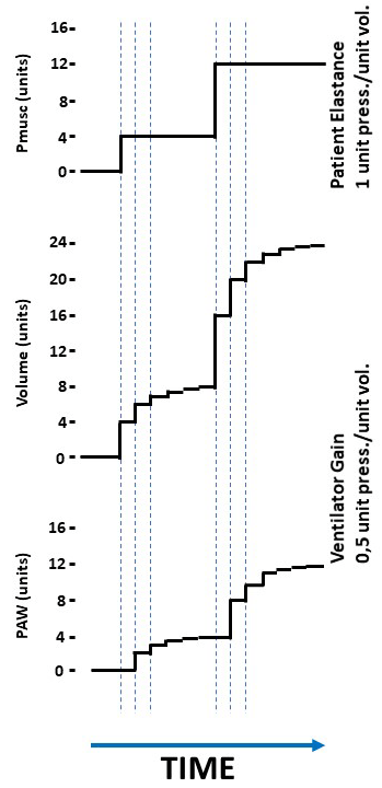
Per facilitare la descrizione dell’interazione tra il paziente e la ventilazione assistita proporzionale, si prenderà in considerazione un caso ipotetico in cui tutti i cambiamenti avvengono per step e tutta la pressione generata è applicata contro l’elastanza del sistema respiratorio (ovvero, la resistenza è zero). L’elastanza del paziente è espressa in unità arbitrarie e a cui si assegna un valore di 1 (1 unità di pressione / unità di volume).
Prima dell’inizio dell’ispirazione (cioè Pmusc = zero) la pressione e il volume delle vie aeree sono stabili, riflettendo il livello di pressione espiratoria positiva (zero nel caso illustrato nell’immagine 4).
A questo punto il paziente decide di inspirare e aumenta la Pmusc di 4 unità. Secondo l’elastanza del paziente, questo comporta che 4 unità di volume si spostano dal ventilatore al paziente. La pressione applicata dal ventilatore è ancora zero. Il trasferimento di gas è tuttavia rilevato e provoca un aumento della Paw in base al segnale del volume e al fattore di guadagno (VA, volume assist). Supponendo che il fattore di guadagno sia impostato su 0,5 unità di pressione / unità di volume, la macchina aumenterà la Paw di 2 unità in risposta alle 4 unità di volume iniziali. La pressione di distensione (Pd = Pmusc + Paw) è quindi aumentata a 6 unità, causando il trasferimento di altre 2 unità di volume. Questo a sua volta viene rilevato e, in base al VA impostato, fa aumentare la Paw di un’unità di pressione aggiuntiva, il che si traduce nel trasferimento di 1 unità di volume e così via (se la pressione muscolare resta costante). Se durante l’inspirazione la Pressione muscolare tende ad aumentare, la logica sarà la medesima sebbene la risposta del ventilatore in termini di pressione e volume sarà maggiore in quanto maggiore sarà la Ptd esercitata dal sistema.
Poiché le forze di retrazione elastica sono sostenute in ogni momento dai muscoli inspiratori del paziente e dal ventilatore, se il paziente riduce il suo contributo, la pressione alveolare aumenta, sviluppando un gradiente pressorio positivo dagli alveoli al ventilatore ed inizia l’espirazione. (3)
Riassumendo:
- L’equazione di moto prevede la pressione necessaria per ogni istante dell’inspirazione;
- necessario calcolare (o stimare) Elastanza e Resistenza;
- il ventilatore eroga in ciascun istante un’assistenza inspiratoria proporzionale alla Pressione resistiva ed alla Pressione elastica;
- la pressione generata dal ventilatore segue il trasferimento di gas dalla macchina al paziente invece di condurlo (o causarlo), inoltre, il flusso e il volume devono essere modificati prima che il ventilatore aggiusti la sua uscita di pressione (assistenza inspiratoria);
- il supporto inspiratorio si regola attraverso il volume assist e il flow assist oppure come % della pressione necessaria in quell’istante per ottenere il volume ed i flussi misurati;
- variazioni della meccanica respiratoria modificano il supporto respiratorio;
- errori nel calcolare la resistenza e l’elastanza possono portare ad una sovra-assistenza o ad una sotto-assistenza.
Mi rendo conto che la logica di funzionamento delle ventilazioni proporzionali sia molto complessa, pertanto, i miei complimenti vanno a tutti quelli che hanno avuto la pazienza e la perseveranza per arrivare alla fine del post. Tante altre considerazioni potrebbero essere fatte su questa modalità di ventilazione ma ho già messo molta carne sul fuoco, quindi, per oggi, ci fermiamo qua.
Un caro saluto a tutti
Enrico Bulleri
BIBLIOGRAFIA
- M J Tobin. Principle and practice of mechanical ventilation. 3rd edition. 2013 Mc Graw-Hill.
- F. Suarez-Sipmann, in representation of the Acute Respiratory Failure Working Group of the SEMICYUC. New modes of assisted mechanical ventilation. Med Intensiva. 2014;38(4):249—260.
- M Younes. Proportional Assist Ventilation, a New Approach to Ventilatory Support. Theory Am Rev Respir Dis. 1992;145(1):114-20