Dopo un po’ di tempo (si chiede perdono) propongo un post che tratta una ventilazione particolare denominata ASV (Adaptive Support Ventilation). Si tratta di una modalità complessa e che necessita di un tempo adeguato per essere digerita.
ASV è un’avanzata closed loop dual control inter breath-mode. Nelle ventilazioni closed loop control viene generato un feedback positivo o negativo in grado di indurre variazioni nell’erogazione della ventilazione, in altre parole l’uscita del gas viene misurata fornendo un segnale di feedback che viene confrontato con il valore di ingresso.
Un feedback negativo tra l’ingresso e l’uscita genera un segnale di errore che viene utilizzato per regolare la ventilazione (1). Grazie a questo sistema il ventilatore è in grado di modificare il livello di assistenza e/o la logica di ventilazione in base ai feedback che riceve.
Durante ASV viene chiesto all’operatore di impostare il peso ideale (IBW, utilizzato per calcolare la ventilazione minuto ideale), la % di ventilazione minuto desiderata, la pressione massima di sicurezza, la PEEP e la FiO2. Il ventilatore sceglierà automaticamente:
- modello ventilatorio (PCV-VG, PC-SIMV o PSV);
- frequenza respiratoria target;
- pressione inspiratoria applicata.
L’ASV combina, durante il suo funzionamento, tre modalità di ventilazione: ventilazione a pressione di supporto (PSV), se la frequenza respiratoria del paziente è superiore target stabilito, ventilazione a pressione controllata (con volume garantito, PCV-VG) se non c’è respirazione spontanea e ventilazione obbligatoria intermittente sincronizzata (SIMV), quando la RR del paziente è inferiore al target; inoltre eroga la pressione inspiratoria necessaria ad ottenere il volume minuto impostato (anche in modalità a pressione di supporto).
L’obiettivo dichiarato dagli ingegneri della Hamilton è di garantire grazie ad ASV un efficace livello di ventilazione alveolare riducendo al minimo il WOB (Work Of Breathing), conducendo il paziente ad un modello ventilatorio ottimale al fine di favorire lo svezzamento e ridurre le complicanze come volutrauma o barotrauma ed iperinflazione dinamica. Per poter garantire un corretto settaggio e monitoraggio durante ASV è importante capire nel dettaglio come sono calcolati i parametri di ventilazione erogati e la logica di funzionamento (1-2).
Stima della ventilazione minuto (VM) secondo peso ideale

ASV definisce la ventilazione minuto normale secondo il grafico nella Figura 1. Per i pazienti che superano i 30 Kg, la ventilazione minuto è quindi calcolata seguendo la formula:
VM = 0,1 l / kg x IBW (Ideal Body Weight)
Ad esempio: per un IBW di 70 kg, una normale ventilazione al minuto corrisponde a 7 l/min.
Ventilazione minuto target ( VM target )
Impostata l’altezza del paziente, necessaria per calcolare il peso corporeo ideale e quindi la VM , si chiede all’operatore di selezionare la percentuale di volume minuto da erogare (% MinVol). Un’impostazione % MinVol del 100% corrisponde alla VM, mentre con un setting inferiore al 100% o superiore al 100% si otterrà una ventilazione minuto inferiore o superiore al normale.
La ventilazione minuto target (in l/min) sara quindi calcolata come:
VM target = VM x (% MinVol / 100)
Ad esempio, con un % MinVol = 100 e un IBW = 70 kg, il software calcola un VM target di 7 l/min. Questo obiettivo può essere raggiunto con molteplici combinazioni di volume corrente (Vt) e frequenza respiratoria (RR), come mostrato nella Figura 2.

Limiti imposti alla ventilazione
Non tutte le combinazioni di Volume corrente (Vt) ed RR mostrate nella Figura 2, ovviamente, sono sicure per il paziente. Infatti gli alti VT distendono eccessivamente i polmoni e i bassi VT non possono produrre ventilazione alveolare. Le RR elevate, invece, possono indurre iperinflazione dinamica, e quindi PEEP intrinseca con conseguente aumento del carico soglia; RR basse, di contro, a ipoventilazione. Pertanto, è necessario limitare il numero di possibili combinazioni di Vt e RR (5). ASV, per fare ciò, usa una doppia strategia:
• l’input dell’operatore per ASV che determina i limiti assoluti;
• i calcoli interni basati sulle misurazioni dei pazienti che restringono ulteriormente i limiti per contrastare i possibili errori dell’operatore e per seguire i cambiamenti della meccanica del sistema respiratorio (figura 3).

LIMITE MASSIMO VT e PAW (A)
Il volume corrente applicato da ASV è limitato da tre impostazioni dell’operatore: allarme pressione alta di sicurezza, limite di Vt alto e altezza del paziente.
L’operatore deve impostare il limite di pressione alta prima di collegare un paziente al ventilatore. La pressione massima applicata in modalità ASV è 10 cm H2O al di sotto del limite di pressione alta impostato.
Ad esempio, un paziente di 70 kg con una compliance di circa 50 ml/cmH2O e un limite di pressione massima di 45 cmH2O comporterà una pressione massima applicata di 35 cmH2O. Se si aggiunge un livello PEEP di 5 cmH2O, l’oscillazione effettiva della pressione sarà di 30 cmH2O. Questo a sua volta porta a un Vt erogabile pari o inferiore a 1500 ml (30 cmH2O di pressione applicata x 50 ml/cmH2O di compliance).
LIMITE VT MINIMO (B)
Per determinare Vt minimo, ASV (vedere B in Figura 3) utilizza l’IBW è su questo applica 4,4 ml/kg. In questo esempio per un paziente di 70 kg l’obiettivo minimo Vt è 308 ml.
Il parametro determinante per la ventilazione alveolare è lo spazio morto (VD). Il valore del volume corrente deve essere sempre maggiore del valore VD. Una prima approssimazione dello spazio morto può essere ottenuta con la seguente semplice equazione:
VD = 2.2 x IBW
Il limite inferiore per il volume corrente è calcolato per essere almeno il doppio dello spazio morto.
Vt minimo = 4,4 x IBW.
LIMITE RR MASSIMA (C)
L’equazione utilizzata per calcolare la RR massima è:
RRmax = VM target / Vt minimo.
Ad esempio, con una % MinVol del 100% il paziente di 70 kg sopra descritto potrà avere una frequenza massima di 7 l/min / 0.308 l= 22 atti/min.
Tuttavia, se si sceglie un % MinVol elevato, ad esempio del 350%, la frequenza massima diventa 77 atti/min.
Per proteggere il paziente da frequenze così elevate e da errori di settaggio, ASV impiega un ulteriore meccanismo di sicurezza, che considera la capacità del paziente di espirare.
Una misura della capacità di espirare è la costante del tempo espiratorio (RCexp) (VEDI POST DEL 10/17 ). Per ottenere un’espirazione sufficiente, è teoricamente richiesto un tempo espiratorio di almeno 2 x RCexp.
Per questo motivo, ASV calcola la frequenza massima in base al principio di fornire un tempo inspiratorio minimo pari a 1 x RCexp e un tempo espiratorio minimo pari a 2 x RCexp, che risulta in queste equazioni:
fmax = 60 / (3 x RCexp) = 20 / RCexp
Ad esempio, un paziente di 70 kg con una compliance del sistema respiratorio di 50 ml/cmH2O (pari a 0,05 l/cmH2O), una resistenza delle vie aeree (incluso il tubo endotracheale) di 5 cmH2O/l/s e una resistenza del circuito espiratorio di altri 5 cmH2O/l/s, avrebbe una RCexp di 0,05 l/cmH2O x (5 + 5) cmH2O/l/s = 0,5 s; e quindi una fmax di 40 atti / min. Poiché questo valore è superiore a quello calcolato sopra, il più basso dei due valori è attivo, ovvero 22 atti/min.
Questo limite si applica solo alla frequenza respiratoria del ventilatore, non alla frequenza respiratoria del paziente (5).
LIMITE RR MINIMA
Il target di frequenza minima è fissato a 5 atti/min. Questa bassa frequenza a sua volta limita il volume corrente massimo a 1400 ml nell’esempio del paziente di 70 kg, quando % MinVol è impostato al 100% (5).
Pattern respiratorio ottimale: frequenza respiratoria target (RR target) e volume corrente
Sebbene vi siano molte possibili combinazioni tra RR e Vt, ASV applica una combinazione target specifica, corrispondente al pattern respiratorio ottimale, ovvero la frequenza ed il volume che in base alle caratteristiche meccaniche misurate e alle impostazioni scelte dall’operatore dovrebbe garantire il minimo lavoro respiratorio. Per trovare il pattern respiratorio ottimale è necessario che il ventilatore misuri la RR target ed il volume corrente da erogare.

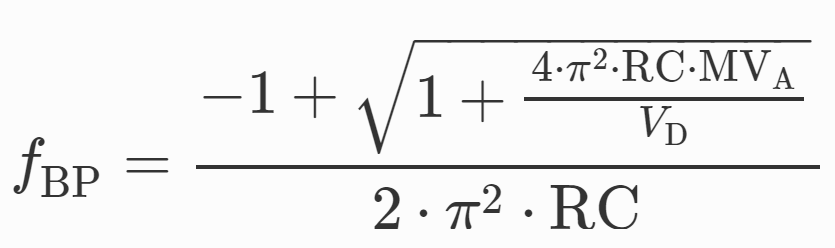
Nel 1950, Otis et al. formularono un’ equazione ed un’ipotesi in base alla quale il cervello dei mammiferi cerca una frequenza respiratoria in grado di minimizzare il lavoro respiratorio. Più tardi, Mead semplificò la formula creata da Otis proponendo quella che oggi conosciamo come equazione per determinare la frequenza a potenza respiratoria minima ( f BP).

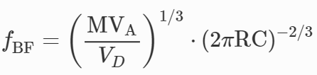
In alternativa all’Eq. di Otis, Mead ha anche dimostrato che esiste una frequenza ottimale alla quale la forza media per respiro richiesta dai muscoli respiratori è minima ( f BF).

È risaputo che la scelta del pattern respiratorio è regolata dal lavoro respiratorio o dalla forza necessaria per mantenere un modello. Il ventilatore funziona partendo dal presupposto che lo schema respiratorio ottimale sia identico a quello che un paziente non supportato sceglierebbe naturalmente. Pertanto la frequenza respiratoria target terrà conto della media tra le formule di Otis e Mead (3-4).
Una volta determinata la frequenza ottimale, è calcolato il Vt target:
Vt = MinVol target / FR ottimale.
Nell’esempio del paziente di 70 kg, l’obiettivo Vt sarà di 467 ml.
Infine, identificato il pattern respiratorio ottimale (Figura 4), il ventilatore ragionerà come segue:
- se Vt attuale < Vt target, la pressione inspiratoria è aumentata.
- Se Vt attuale > Vt target, la pressione inspiratoria è ridotta.
- Se RR attuale < RR target, la frequenza SIMV è aumentata.
- Se RR attuale > RR target , la frequenza SIMV è ridotta o rimane operativo solo il PSV (5).
Per oggi ci fermiamo qua, capisco che probabilmente è come mangiare una fonduta di formaggio con un contorno di peperonata sotto il sole cocente di agosto, ma come ho detto all’inizio ci vuole solo un po’ di tempo per digerirla poi si metabolizza, per questo ti faccio i miei complimenti se sei arrivato in fondo a quest’articolo … Nel prossimo post valuteremo se gli studi pubblicati negli ultimi anni confermano o smentiscono i benefici potenziali derivanti dall’utilizzo di ASV.
Un caloroso saluto a tutti…e buone vacanze d’agosto a chi ancora non le ha fatte
Enrico Bulleri
Bibliografia
- J. Fernàndez, et al. Adaptive support ventilation: State of the art review. Indian J Crit Care Med. 2013 Jan-Feb; 17(1): 16–22. J.
- J. X. Brunner, G. A. Iotti. Adaptive Support Ventilation (ASV). Minerva Anestesiol 2002; 68 (5):365-8.
- M. van der Staay, R. L. Chatburn. Advanced modes of mechanical ventilation and optimal targeting schemes. Intensive Care Medicine Experimental Dec 2018, 6:30. Oper acces avalaible from https://link.springer.com/article/10.1186/s40635-018-0195-0#citeas.
- Osama Al-Otaibi. “Adaptive Support Ventilation Version 1.1 State-of Art Literature Review”. EC Pulmonology and Respiratory Medicine 2018;7:591-604.
- Hamilton G5. Operator‘s manual 624074/07, Software version 2.2X.
Come si può ordinare il vostro manuale? Ad oggi è introvabile
"Mi piace""Mi piace"
Buongiorno Diana, scusa per l’imperdonabile ritardo m leggo solo ora il tuo commento. Tutte le copie del libro sono purtroppo state vendute è quindi impossibile trovarle online a meno che l’editore non decida una ristampa. Tuttavia abbiamo ancora a disposizione qualche manuale che ci portiamo durante i corsi, se quindi avrò il piacere di averti ad un corso scrivimi che te ne tengo una copia.
Distinti Saluti
"Mi piace""Mi piace"
Buongiorno a tutti sono un anestesista, complimenti per il post!
La domanda che io mi faccio è, quando ho un paziente in weaning, impostando una percentuale di volume minuto del 70% (per fare un esempio), questa modalità come decide il supporto da erogare???
Mi spiego meglio, sappiamo bene che il ruolo svolto dalla pressione assistita è il trasferimento di lavoro dal ventilatore al paziente; ipotizzando un paziente di 70kg, 100% 7l/min, impostando 70%, il ventilatore deve garantire 4,9 litri/min, in un paziente che è sveglio e tende a fare (per ipotesi) tra i 24 e i 26 atti inspiratori, il ventilatore come decide il supporto da erogare?
"Mi piace""Mi piace"
Buongiorno Gianni, grazie per il commento. La domanda che mi poni è molto complessa in quanto ASV utilizza diversi input per calcolare la pressione di supporto da applicare, proverò comunque ad essere chiaro e sintetico. Possiamo dire che durante l’attività spontanea del paziente l’obiettivo del ventilatore sarà di applicare il livello di supporto necessario ad ottenere il volume corrente ideale, che a sua volta dipende da elastanza, resistenza, forza inspiratoria del paziente, peso ideale, %VolMin e trigger espiratorio.
Per fare un esempio più concreto utilizzo un simulatore gratuito della Hamilton in modo da non dover fare i calcoli (la matematica non è mai stata la mia passione).
Prendiamo un paziente con peso ideale di 70 Kg, una %VolMin del 70% ed un polmone più o meno normale (R=10 cmH2O/L/s; C= 55 mL/cmH2O): secondo le caratteristiche meccaniche del sistema e i parametri impostati viene calcolato un pattern respiratorio ideale di 11 resp/min e circa 450 ml di volume corrente che sarà operativo in assenza di drive respiratorio e ottenibile con una pressione controllata sopra PEEP di 9 cmH2O.
Ipotizziamo a questo punto che il paziente riprenda a respirare (ovviamente il ventilatore passa in pressure support poiché la FR reale e maggiore della FR target) e porti la FR a 24 atti/min con una blanda forza dei muscoli respiratori (3 cmH2O) e un trigger espiratorio impostato al 40%, per poter garantire 450 ml di volume corrente in un sistema con R=10 cmH2O/L/s e C= 55 mL/cmH2O viene applicata una pressione di supporto di 12 cmH2O. Da questo scenario di partenza possiamo fare alcune considerazioni (che spero aiutino a comprendere come viene gestito il PS da ASV): se portiamo il trigger espiratorio al 10% avremo un piccolo aumento del tempo di pressurizzazione e quindi un piccolo aumento del volume corrente che indurrà il ventilatore ad abbassare il PS (in questo paziente è passato da 12 ad 11 cmH2O). Se invece di scalare il trigger espiratorio (che lasciamo al 40%) scaliamo la %VolMin dal 70% al 40% varierà il pattern respiratorio ideale che darà una FR ideale di 7 atti/min ed un Vt ideale di 400 ml, questa riduzione del volume corrente (da 450 a 400) indurrà il ventilatore ad abbassare il PS ed in questo caso al ventilatore basterà applicare 10 cmH2O per raggiungere il suo obiettivo. Ritorniamo allo scenario di partenza (FR 24, trigger esp. 40%, %VolMin 70%) e supponiamo che il paziente aumenti la forza con cui inspira (passando dai 3 cmH2O di prima a 10 cmH2O), l’aumento della forza muscolare durante l’inspirazione si trasforma in un aumento del flusso inspiratorio e quindi del volume che indurrà il ventilatore a ridurre la pressione di supporto applicata, in questo caso il ventilatore applicherà solo 5 cmH2O.
Variazioni di PS si verificano ovviamente anche al variare di elastanza e resistenza.
Qui sotto allego il link del simulatore dove è possibile costruire gli scenari più disparati e ragionare sulla logica di funzionamento di questa modalità di ventilazione.
https://www.hamilton-medical.com/.static/HAMILTON-G5/start.html
Una cosa che tuttavia non sono mai riuscito a fare sul simulatore (e nella realtà) è ottenere una pressione di supporto inferiore a 4 cmH2O (anche aumentando di molto la forza dei muscoli respiratori). Probabilmente ASV permette al paziente di fare molte cose ma non la CPAP.
Un caro saluto
"Mi piace""Mi piace"